ОТВЕТ на задание № 33 Учебник по Алгебре 9 класс Мерзляк Алгоритм успеха
Решебник к учебнику 2021
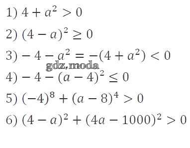
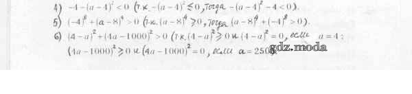
упражнение / 33

Решебник №1 к учебнику 2016
упражнение / 33

Решебник №2 к учебнику 2016
упражнение / 33


Решебник №3 к учебнику 2016
упражнение / 33

Все ГДЗ по Алгебре 9 класс Алгоритм успеха