ОТВЕТ на задание № 395 Учебник по Алгебре 9 класс Мерзляк Алгоритм успеха
Решебник к учебнику 2021
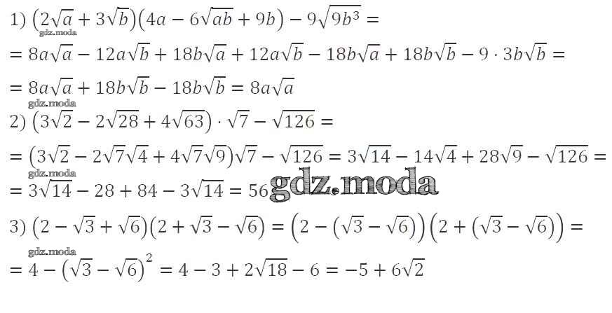
упражнение / 395

Решебник №1 к учебнику 2016
упражнение / 395

Решебник №2 к учебнику 2016
упражнение / 395

Решебник №3 к учебнику 2016
упражнение / 395

Все ГДЗ по Алгебре 9 класс Алгоритм успеха