ОТВЕТ на задание № 856 Учебник по Алгебре 9 класс Мерзляк Алгоритм успеха
Решебник к учебнику 2021
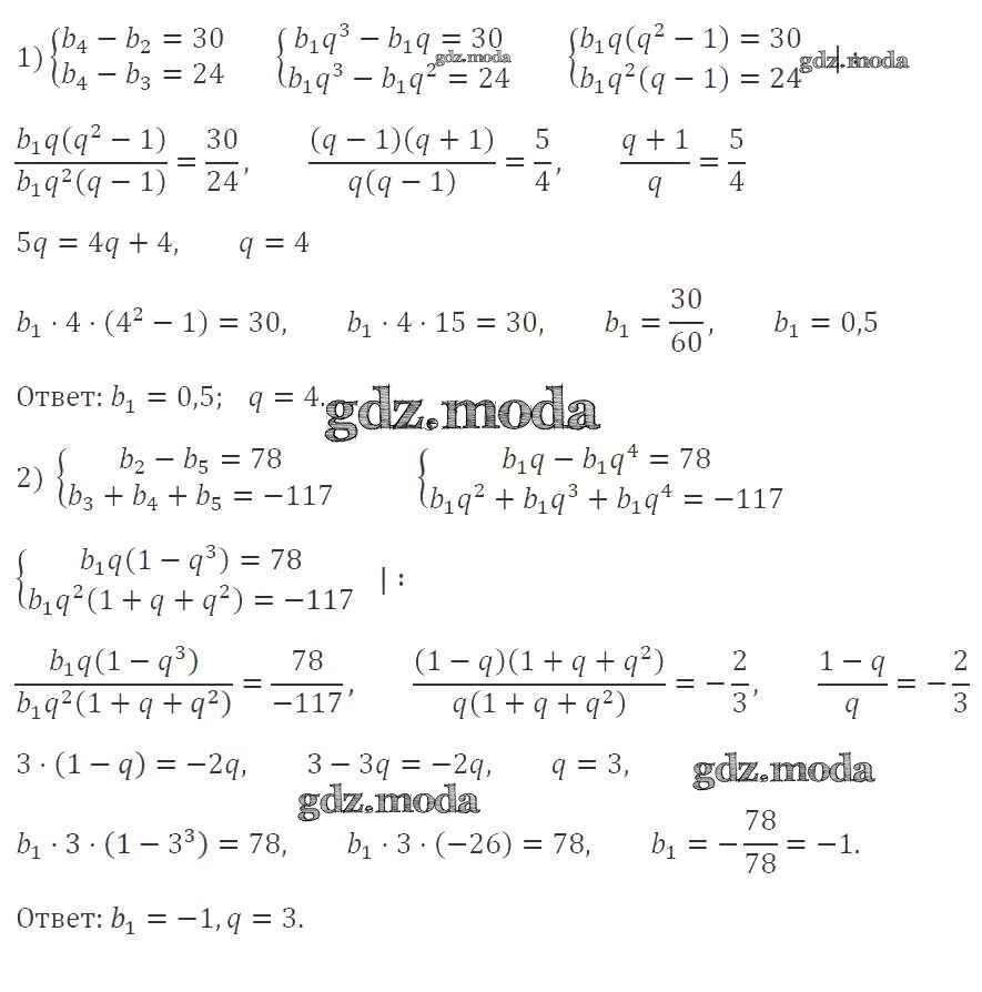
упражнение / 856

Решебник №1 к учебнику 2016
упражнение / 856

Решебник №2 к учебнику 2016
упражнение / 856

Решебник №3 к учебнику 2016
упражнение / 856

Все ГДЗ по Алгебре 9 класс Алгоритм успеха