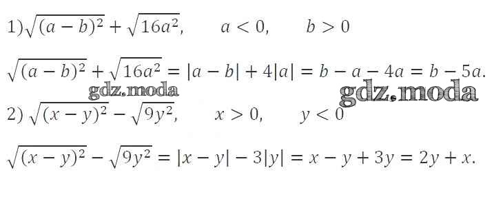
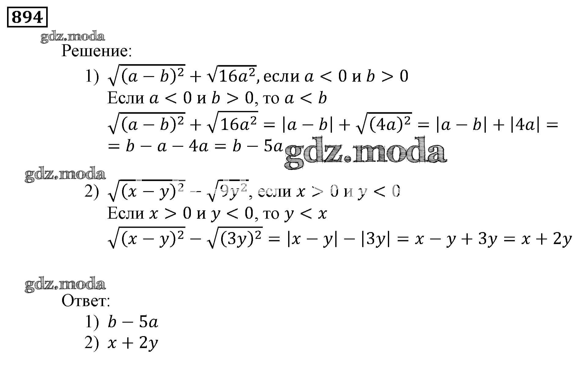
ОТВЕТ на задание № 894 Учебник по Алгебре 9 класс Мерзляк Алгоритм успеха
Решебник к учебнику 2021
упражнение / 894

Решебник №1 к учебнику 2016
упражнение / 894

Решебник №2 к учебнику 2016
упражнение / 894

Решебник №3 к учебнику 2016
упражнение / 894

Все ГДЗ по Алгебре 9 класс Алгоритм успеха