ОТВЕТ на задание № 959 Учебник по Алгебре 9 класс Мерзляк Алгоритм успеха

Решебник к учебнику 2021

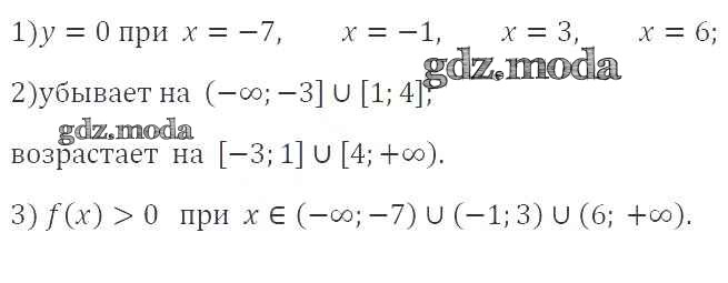
упражнение / 959

Решебник №1 к учебнику 2016

упражнение / 959

Решебник №3 к учебнику 2016

упражнение / 959

Все ГДЗ по Алгебре 9 класс Алгоритм успеха

ГДЗ решение к заданию № 959 Алгебра 9 класс Мерзляк, Полонский Вентана-граф, Просвещение 2016, 2021 ФГОС бесплатно на гдз.мода!