Классы
1 класс
2 класс
3 класс
4 класс
5 класс
6 класс
7 класс
8 класс
9 класс
10 класс
11 класс
Предметы
Алгебра
Английский язык
Белорусский язык
Биология
География
Геометрия
Естествознание
Информатика
Искусство
История
Кубановедение
Литература
Математика
Музыка
Немецкий язык
ОБЖ
Обществознание
Окружающий мир
Основы здоровья
Природоведение
Русский язык
Технология
Украинский язык
Физика
Французский язык
Химия
Человек и мир
Я исследую мир
ГДЗ
9 класс
Алгебра
Минаева рабочая тетрадь
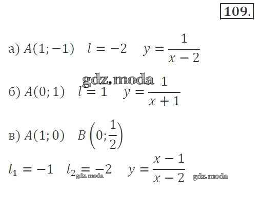
109
ОТВЕТ на задание № 109 Рабочая тетрадь по Алгебре 9 класс Минаева
Показать содержание
← Предыдущее
Следующее →
Решебник №1
упражнение / 109
Решебник №2
упражнение / 109
Показать содержание
← Предыдущее
Следующее →
ГДЗ решение к заданию № 109 Алгебра 9 класс рабочая тетрадь Минаева С.С. Просвещение 2017 Часть 1, Часть 2 бесплатно на гдз.мода!