Классы
1 класс
2 класс
3 класс
4 класс
5 класс
6 класс
7 класс
8 класс
9 класс
10 класс
11 класс
Предметы
Алгебра
Английский язык
Белорусский язык
Биология
География
Геометрия
Естествознание
Информатика
Искусство
История
Кубановедение
Литература
Математика
Музыка
Немецкий язык
ОБЖ
Обществознание
Окружающий мир
Основы здоровья
Природоведение
Русский язык
Технология
Украинский язык
Физика
Французский язык
Химия
Человек и мир
Я исследую мир
ГДЗ
9 класс
Алгебра
тесты Мордкович
тест 2
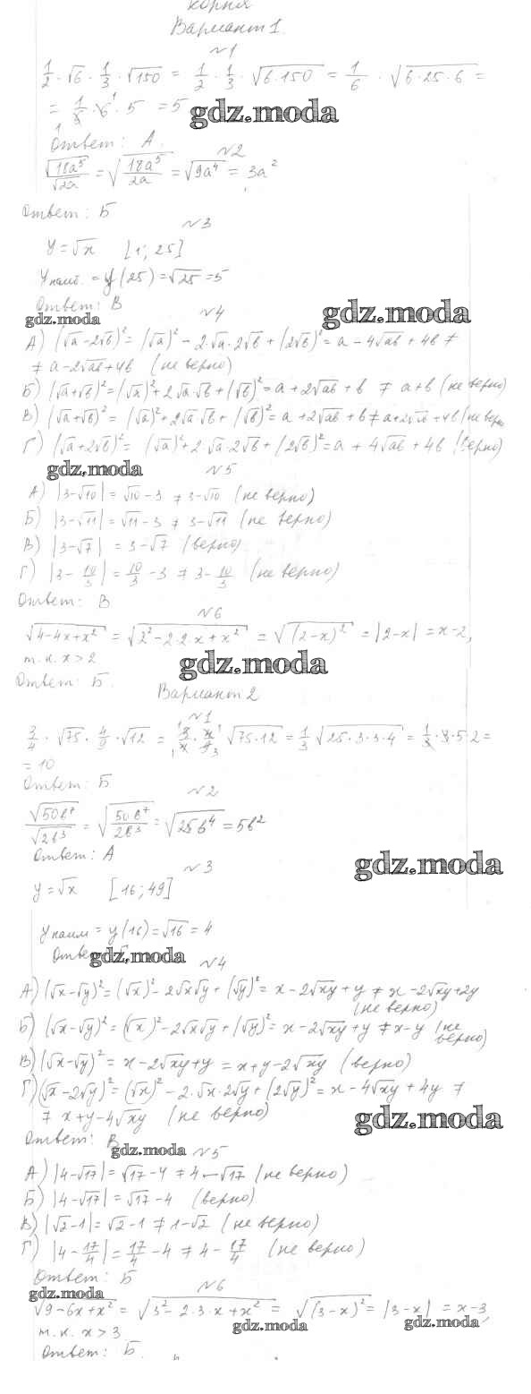
ОТВЕТ на задание № Тест 2 Тесты по Алгебре 7-9 класс Мордкович Базовый уровень
Показать содержание
← Предыдущее
Следующее →
Решебник 1
8 класс / тест 2
Решебник 2
8 класс / тест 2
Показать содержание
← Предыдущее
Следующее →
ГДЗ решение к заданию № Тест 2 Алгебра 7-9 класс тесты Мордкович А.Г. Мнемозина 2013 Базовый уровень ФГОС бесплатно на гдз.мода!