ОТВЕТ на задание № 16 Задачник по Алгебре 9 класс Мордкович
Решебник 2021
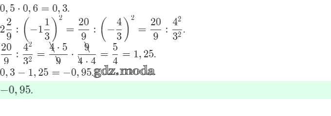
итоговое повторение (2021) / 16
ГДЗ решение к заданию № 16 Алгебра 9 класс Задачник Мордкович А.Г. (часть 2) Мнемозина, Мнемозина 2010, 2021 Часть 2 ФГОС бесплатно на гдз.мода!