Классы
1 класс
2 класс
3 класс
4 класс
5 класс
6 класс
7 класс
8 класс
9 класс
10 класс
11 класс
Предметы
Алгебра
Английский язык
Белорусский язык
Биология
География
Геометрия
Естествознание
Информатика
Искусство
История
Кубановедение
Литература
Математика
Музыка
Немецкий язык
ОБЖ
Обществознание
Окружающий мир
Основы здоровья
Природоведение
Русский язык
Технология
Украинский язык
Физика
Французский язык
Химия
Человек и мир
Я исследую мир
ГДЗ
9 класс
Алгебра
Мордкович задачник
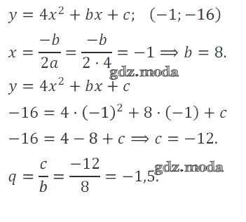
169
ОТВЕТ на задание № 169 Задачник по Алгебре 9 класс Мордкович
Показать содержание
← Предыдущее
Следующее →
Решебник 2010 №1
итоговое повторение (2010) / функции и графики / 169
Решебник 2010 №2
итоговое повторение (2010) / функции и графики / 169
Показать содержание
← Предыдущее
Следующее →
ГДЗ решение к заданию № 169 Алгебра 9 класс Задачник Мордкович А.Г. (часть 2) Мнемозина, Мнемозина 2010, 2021 Часть 2 ФГОС бесплатно на гдз.мода!