Классы
1 класс
2 класс
3 класс
4 класс
5 класс
6 класс
7 класс
8 класс
9 класс
10 класс
11 класс
Предметы
Алгебра
Английский язык
Белорусский язык
Биология
География
Геометрия
Естествознание
Информатика
Искусство
История
Кубановедение
Литература
Математика
Музыка
Немецкий язык
ОБЖ
Обществознание
Окружающий мир
Основы здоровья
Природоведение
Русский язык
Технология
Украинский язык
Физика
Французский язык
Химия
Человек и мир
Я исследую мир
ГДЗ
9 класс
Алгебра
самостоятельные и контрольные работы Ершова
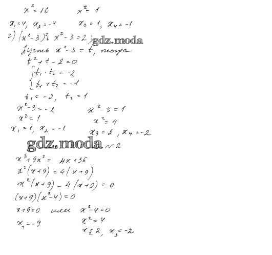
А2
ОТВЕТ на задание № А2 Самостоятельные и контрольные работы по Алгебре 9 класс Ершова
Показать содержание
← Предыдущее
Следующее →
Решебник
алгебра / самостоятельная работа / ср-7. вариант / А2
Показать содержание
← Предыдущее
Следующее →
ГДЗ решение к заданию № А2 Алгебра 9 класс самостоятельные и контрольные работы Ершова А.П. Илекса 2015 ФГОС бесплатно на гдз.мода!