Классы
1 класс
2 класс
3 класс
4 класс
5 класс
6 класс
7 класс
8 класс
9 класс
10 класс
11 класс
Предметы
Алгебра
Английский язык
Белорусский язык
Биология
География
Геометрия
Естествознание
Информатика
Искусство
История
Кубановедение
Литература
Математика
Музыка
Немецкий язык
ОБЖ
Обществознание
Окружающий мир
Основы здоровья
Природоведение
Русский язык
Технология
Украинский язык
Физика
Французский язык
Химия
Человек и мир
Я исследую мир
ГДЗ
9 класс
Алгебра
самостоятельные работы Александрова
вариант 3
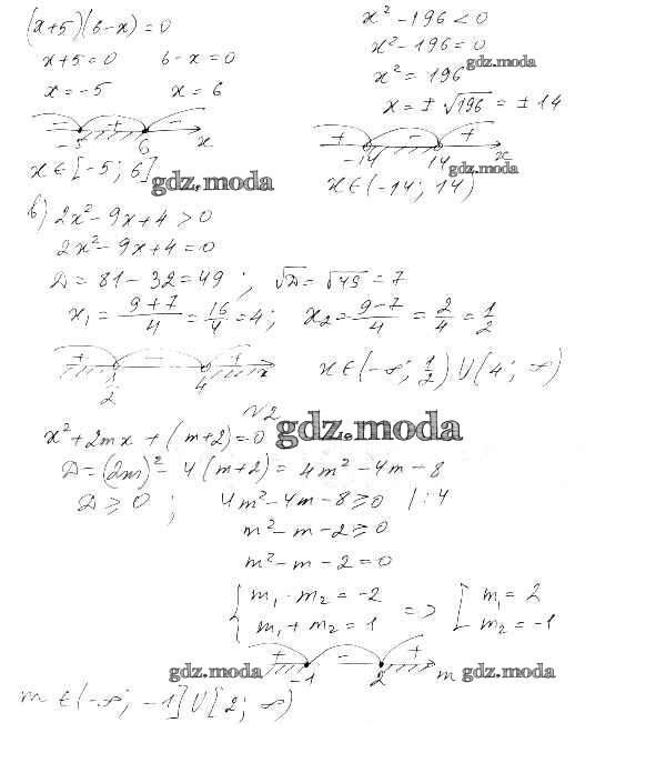
ОТВЕТ на задание № вариант 3 Самостоятельные работы по Алгебре 9 класс Александрова Базовый уровень
Показать содержание
← Предыдущее
Следующее →
Решебник №1
тема 1 / ср-2 / вариант 3
Решебник №2
тема 1 / ср-2 / вариант 3
Показать содержание
← Предыдущее
Следующее →
ГДЗ решение к заданию № вариант 3 Алгебра 9 класс самостоятельные работы Александрова Л.А. (к уч. Мордковича) Мнемозина 2016 Базовый уровень ФГОС бесплатно на гдз.мода!