ОТВЕТ на задание № Вариант 1 Дидактические материалы по Алгебре 9 класс Евстафьева
Решебник 2
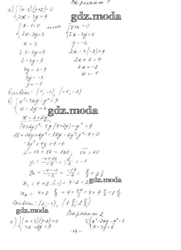
проверочная работа / п-35 / вариант 1
ГДЗ решение к заданию № Вариант 1 Алгебра 9 класс Дидактические материалы Евстафьева Л.П. Просвещение 2017 ФГОС бесплатно на гдз.мода!