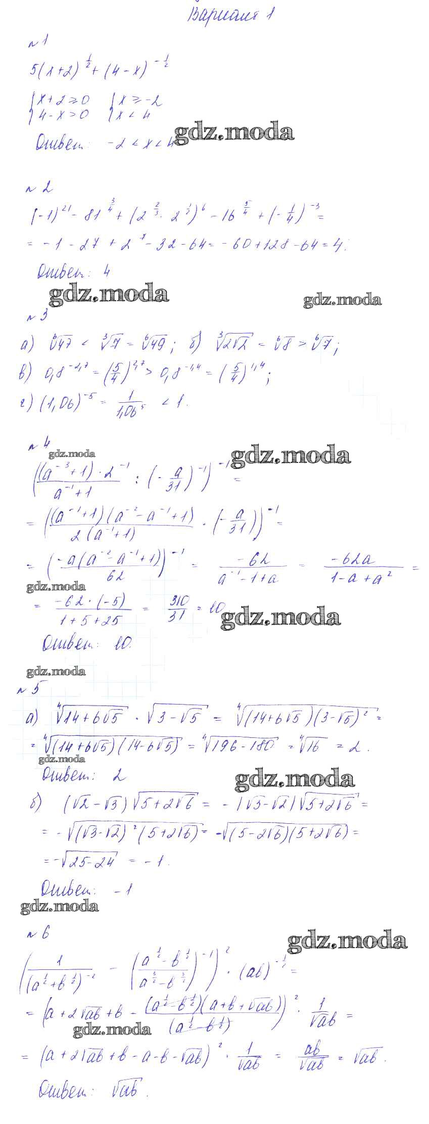
ОТВЕТ на задание № вариант 1 Дидактические материалы по Алгебре 9 класс Зив
Решебник
контрольная работа / кр-2 / вариант 1
ГДЗ решение к заданию № вариант 1 Алгебра 9 класс Дидактические материалы Зив Б.Г. Виктория плюс 2013 ФГОС бесплатно на гдз.мода!