Классы
1 класс
2 класс
3 класс
4 класс
5 класс
6 класс
7 класс
8 класс
9 класс
10 класс
11 класс
Предметы
Алгебра
Английский язык
Белорусский язык
Биология
География
Геометрия
Естествознание
Информатика
Искусство
История
Кубановедение
Литература
Математика
Музыка
Немецкий язык
ОБЖ
Обществознание
Окружающий мир
Основы здоровья
Природоведение
Русский язык
Технология
Украинский язык
Физика
Французский язык
Химия
Человек и мир
Я исследую мир
ГДЗ
9 класс
Физика
дидактические материалы Марон
2
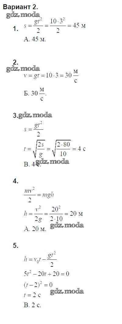
ОТВЕТ на задание № 2 Дидактические материалы по Физике 9 класс Марон УМК
Показать содержание
← Предыдущее
Следующее →
Решебник
тест для самоконтроля / тест 4. вариант / 2
Показать содержание
← Предыдущее
Следующее →
Все ГДЗ по
Физике 9 класс УМК
ГДЗ решение к заданию № 2 Физика 9 класс дидактические материалы Марон А.Е. (к уч. Перышкина А.В.) Дрофа 2019 ФГОС бесплатно на гдз.мода!