Классы
1 класс
2 класс
3 класс
4 класс
5 класс
6 класс
7 класс
8 класс
9 класс
10 класс
11 класс
Предметы
Алгебра
Английский язык
Белорусский язык
Биология
География
Геометрия
Естествознание
Информатика
Искусство
История
Кубановедение
Литература
Математика
Музыка
Немецкий язык
ОБЖ
Обществознание
Окружающий мир
Основы здоровья
Природоведение
Русский язык
Технология
Украинский язык
Физика
Французский язык
Химия
Человек и мир
Я исследую мир
ГДЗ
9 класс
Физика
рабочая тетрадь Гутник
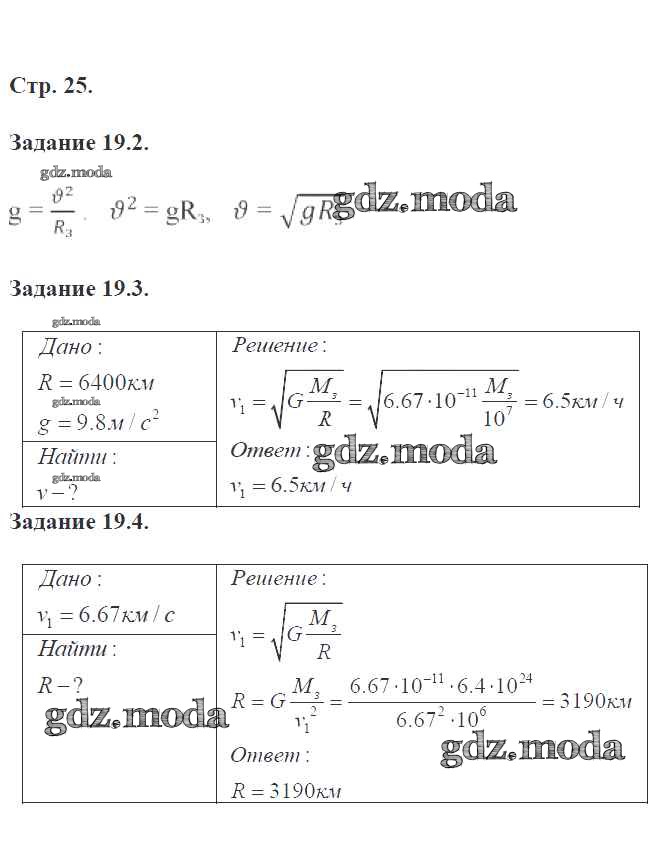
25
ОТВЕТ на задание № 25 Рабочая тетрадь по Физике 9 класс Гутник УМК
Показать содержание
← Предыдущее
Следующее →
Решебник
страница / 25
Показать содержание
← Предыдущее
Следующее →
Все ГДЗ по
Физике 9 класс УМК
ГДЗ решение к заданию № 25 Физика 9 класс рабочая тетрадь Гутник Е.М. (к уч. Перышкина А.В.) Дрофа 2016 ФГОС бесплатно на гдз.мода!