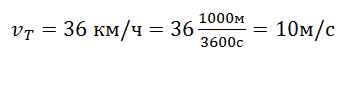
ОТВЕТ на задание № 118 Сборник задач по Физике 7-9 класс Лукашик

Решебник №1

задание / 118

Решебник №2

задание / 118

Решебник №3

задание / 118

Решебник №4

задание / 118

Решебник №5

задание / 118

ГДЗ решение к заданию № 118 Физика 7-9 классы сборник задач Лукашик В.И. Просвещение 2011 ФГОС бесплатно на гдз.мода!