ОТВЕТ на задание № 1377 Сборник задач по Физике 7-9 класс Лукашик

Решебник №1

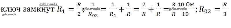
задание № / 1377

Решебник №2

задание № / 1377

Решебник №3

задание № / 1377

Решебник №4

задание № / 1377

ГДЗ решение к заданию № 1377 Физика 7-9 класс Сборник задач Лукашик В.И. Просвещение 2011 ФГОС бесплатно на гдз.мода!