Классы
1 класс
2 класс
3 класс
4 класс
5 класс
6 класс
7 класс
8 класс
9 класс
10 класс
11 класс
Предметы
Алгебра
Английский язык
Белорусский язык
Биология
География
Геометрия
Естествознание
Информатика
Искусство
История
Кубановедение
Литература
Математика
Музыка
Немецкий язык
ОБЖ
Обществознание
Окружающий мир
Основы здоровья
Природоведение
Русский язык
Технология
Украинский язык
Физика
Французский язык
Химия
Человек и мир
Я исследую мир
ГДЗ
9 класс
Физика
сборник задач Лукашик
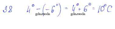
38
ОТВЕТ на задание № 38 Сборник задач по Физике 7-9 класс Лукашик
Показать содержание
← Предыдущее
Следующее →
Решебник №1
задание № / 38
Решебник №2
задание № / 38
Решебник №4
задание № / 38
Показать содержание
← Предыдущее
Следующее →
ГДЗ решение к заданию № 38 Физика 7-9 класс Сборник задач Лукашик В.И. Просвещение 2011 ФГОС бесплатно на гдз.мода!