ОТВЕТ на задание № 698 Сборник задач по Физике 7-9 класс Лукашик

Решебник №1

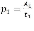
задание / 698

Решебник №2

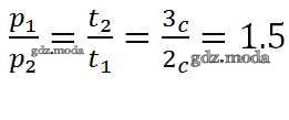
задание / 698

Решебник №3

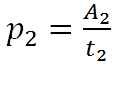
задание / 698

Решебник №4

задание / 698

Решебник №5

задание / 698

ГДЗ решение к заданию № 698 Физика 7-9 классы сборник задач Лукашик В.И. Просвещение 2011 ФГОС бесплатно на гдз.мода!