ОТВЕТ на задание № 703 Сборник задач по Физике 7-9 класс Лукашик

Решебник №1

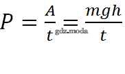
задание № / 703

Решебник №2

задание № / 703

Решебник №3

задание № / 703

Решебник №4

задание № / 703

ГДЗ решение к заданию № 703 Физика 7-9 класс Сборник задач Лукашик В.И. Просвещение 2011 ФГОС бесплатно на гдз.мода!