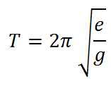
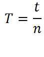
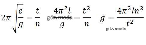
ОТВЕТ на задание № 873 Сборник задач по Физике 7-9 класс Лукашик

Решебник №1

задание № / 873

Решебник №2

задание № / 873

Решебник №3

задание № / 873

Решебник №4

задание № / 873

ГДЗ решение к заданию № 873 Физика 7-9 класс Сборник задач Лукашик В.И. Просвещение 2011 ФГОС бесплатно на гдз.мода!