ОТВЕТ на задание № 815 Сборник задач по Физике 7-9 класс Перышкин УМК

Решебник №1

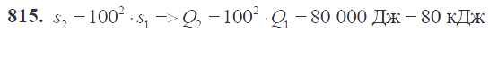
8 класс / тепловые явления / 815

Решебник №2

8 класс / тепловые явления / 815

Все ГДЗ по Физике 7 класс УМК

Все ГДЗ по Физике 8 класс УМК

Все ГДЗ по Физике 9 класс УМК

ГДЗ решение к заданию № 815 Сборник задач по физике 7-9 класс Перышкин А.В. Экзамен 2016 ФГОС бесплатно на гдз.мода!