ОТВЕТ на задание № 1410 Сборник задач по Физике 7-9 класс Перышкин УМК

Решебник №1

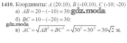
9 класс / законы взаимодействия и движения тел / 1410

Решебник №2

9 класс / законы взаимодействия и движения тел / 1410

Все ГДЗ по Физике 7 класс УМК

Все ГДЗ по Физике 8 класс УМК

Все ГДЗ по Физике 9 класс УМК

ГДЗ решение к заданию № 1410 Сборник задач по физике 7-9 класс Перышкин А.В. Экзамен 2016 ФГОС бесплатно на гдз.мода!