ОТВЕТ на задание № 1860 Сборник задач по Физике 7-9 класс Перышкин УМК

Решебник №1

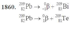
9 класс / строение атома и атомного ядра. использование энергии атомных ядер / 1860

Решебник №2

9 класс / строение атома и атомного ядра. использование энергии атомных ядер / 1860

Все ГДЗ по Физике 7 класс УМК

Все ГДЗ по Физике 8 класс УМК

Все ГДЗ по Физике 9 класс УМК

ГДЗ решение к заданию № 1860 Сборник задач по физике 7-9 класс Перышкин А.В. Экзамен 2016 ФГОС бесплатно на гдз.мода!