Классы
1 класс
2 класс
3 класс
4 класс
5 класс
6 класс
7 класс
8 класс
9 класс
10 класс
11 класс
Предметы
Алгебра
Английский язык
Белорусский язык
Биология
География
Геометрия
Естествознание
Информатика
Искусство
История
Кубановедение
Литература
Математика
Музыка
Немецкий язык
ОБЖ
Обществознание
Окружающий мир
Основы здоровья
Природоведение
Русский язык
Технология
Украинский язык
Физика
Французский язык
Химия
Человек и мир
Я исследую мир
ГДЗ
9 класс
Геометрия
дидактические материалы Мерзляк
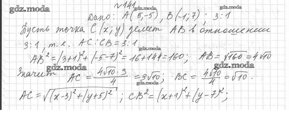
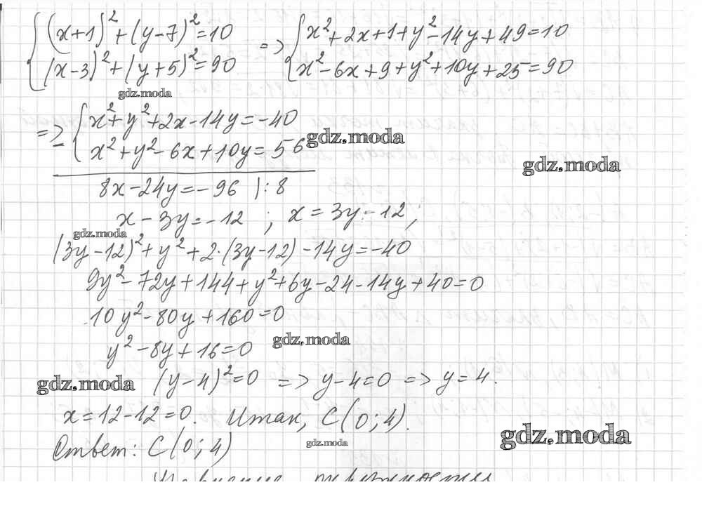
141
ОТВЕТ на задание № 141 Дидактические материалы по Геометрии 9 класс Мерзляк Алгоритм успеха
Показать содержание
← Предыдущее
Следующее →
Решебник
вариант 1. упражнение / 141
Показать содержание
← Предыдущее
Следующее →
ГДЗ решение к заданию № 141 Геометрия 9 класс Дидактические материалы Мерзляк А.Г. Вентана-граф 2017 ФГОС бесплатно на гдз.мода!