Классы
1 класс
2 класс
3 класс
4 класс
5 класс
6 класс
7 класс
8 класс
9 класс
10 класс
11 класс
Предметы
Алгебра
Английский язык
Белорусский язык
Биология
География
Геометрия
Естествознание
Информатика
Искусство
История
Кубановедение
Литература
Математика
Музыка
Немецкий язык
ОБЖ
Обществознание
Окружающий мир
Основы здоровья
Природоведение
Русский язык
Технология
Украинский язык
Физика
Французский язык
Химия
Человек и мир
Я исследую мир
ГДЗ
9 класс
Геометрия
Казаков
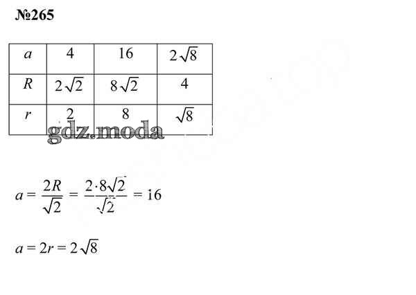
265
ОТВЕТ на задание № 265 Учебник по Геометрии 9 класс Казаков
Показать содержание
← Предыдущее
Следующее →
Решебник
задача / 265
Показать содержание
← Предыдущее
Следующее →
ГДЗ решение к заданию № 265 Геометрия 9 класс Казаков В.В. Народная асвета 2019 бесплатно на гдз.мода!