Классы
1 класс
2 класс
3 класс
4 класс
5 класс
6 класс
7 класс
8 класс
9 класс
10 класс
11 класс
Предметы
Алгебра
Английский язык
Белорусский язык
Биология
География
Геометрия
Естествознание
Информатика
Искусство
История
Кубановедение
Литература
Математика
Музыка
Немецкий язык
ОБЖ
Обществознание
Окружающий мир
Основы здоровья
Природоведение
Русский язык
Технология
Украинский язык
Физика
Французский язык
Химия
Человек и мир
Я исследую мир
ГДЗ
9 класс
Геометрия
Казаков
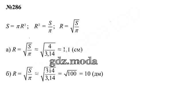
286
ОТВЕТ на задание № 286 Учебник по Геометрии 9 класс Казаков
Показать содержание
← Предыдущее
Следующее →
Решебник
задача / 286
Показать содержание
← Предыдущее
Следующее →
ГДЗ решение к заданию № 286 Геометрия 9 класс Казаков В.В. Народная асвета 2019 бесплатно на гдз.мода!