Классы
1 класс
2 класс
3 класс
4 класс
5 класс
6 класс
7 класс
8 класс
9 класс
10 класс
11 класс
Предметы
Алгебра
Английский язык
Белорусский язык
Биология
География
Геометрия
Естествознание
Информатика
Искусство
История
Кубановедение
Литература
Математика
Музыка
Немецкий язык
ОБЖ
Обществознание
Окружающий мир
Основы здоровья
Природоведение
Русский язык
Технология
Украинский язык
Физика
Французский язык
Химия
Человек и мир
Я исследую мир
ГДЗ
9 класс
Геометрия
Мерзляк
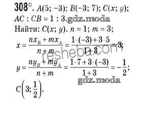
308
ОТВЕТ на задание № 308 Учебник по Геометрии 9 класс Мерзляк
Показать содержание
← Предыдущее
Следующее →
Решебник к учебнику 2023
задача / 308
Решебник к учебнику 2016
задача / 308
Показать содержание
← Предыдущее
Следующее →
ГДЗ решение к заданию № 308 Геометрия 9 класс Мерзляк А.Г. Вентана-граф, Просвещение 2016, 2023 ФГОС бесплатно на гдз.мода!