Классы
1 класс
2 класс
3 класс
4 класс
5 класс
6 класс
7 класс
8 класс
9 класс
10 класс
11 класс
Предметы
Алгебра
Английский язык
Белорусский язык
Биология
География
Геометрия
Естествознание
Информатика
Искусство
История
Кубановедение
Литература
Математика
Музыка
Немецкий язык
ОБЖ
Обществознание
Окружающий мир
Основы здоровья
Природоведение
Русский язык
Технология
Украинский язык
Физика
Французский язык
Химия
Человек и мир
Я исследую мир
ГДЗ
9 класс
Геометрия
Мерзляк
1
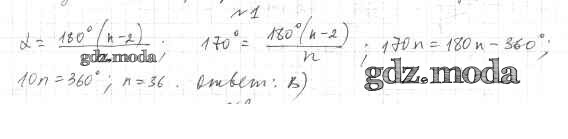
ОТВЕТ на задание № 1 Учебник по Геометрии 9 класс Мерзляк
Показать содержание
← Предыдущее
Следующее →
Решебник к учебнику 2023
проверь себя / задание №2 / 1
Решебник к учебнику 2016
проверь себя / задание №2 / 1
Показать содержание
← Предыдущее
Следующее →
ГДЗ решение к заданию № 1 Геометрия 9 класс Мерзляк А.Г. Вентана-граф, Просвещение 2016, 2023 ФГОС бесплатно на гдз.мода!