Классы
1 класс
2 класс
3 класс
4 класс
5 класс
6 класс
7 класс
8 класс
9 класс
10 класс
11 класс
Предметы
Алгебра
Английский язык
Белорусский язык
Биология
География
Геометрия
Естествознание
Информатика
Искусство
История
Кубановедение
Литература
Математика
Музыка
Немецкий язык
ОБЖ
Обществознание
Окружающий мир
Основы здоровья
Природоведение
Русский язык
Технология
Украинский язык
Физика
Французский язык
Химия
Человек и мир
Я исследую мир
ГДЗ
9 класс
Геометрия
рабочая тетрадь Мерзляк
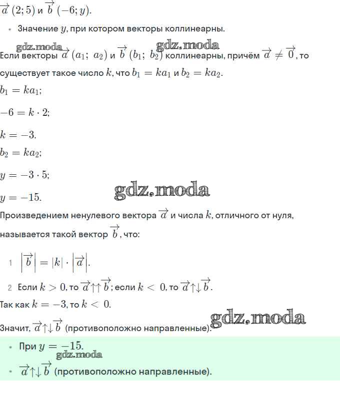
304
ОТВЕТ на задание № 304 Рабочая тетрадь по Геометрии 9 класс Мерзляк Алгоритм успеха
Показать содержание
← Предыдущее
Следующее →
Решебник
§15 / 304
Показать содержание
← Предыдущее
Следующее →
ГДЗ решение к заданию № 304 Геометрия 9 класс рабочая тетрадь Мерзляк А.Г. Вентана-граф 2021 Часть 1, Часть 2 ФГОС бесплатно на гдз.мода!