ОТВЕТ на задание № 26 Самостоятельные и контрольные работы по Геометрии 7-9 класс Иченская
Решебник
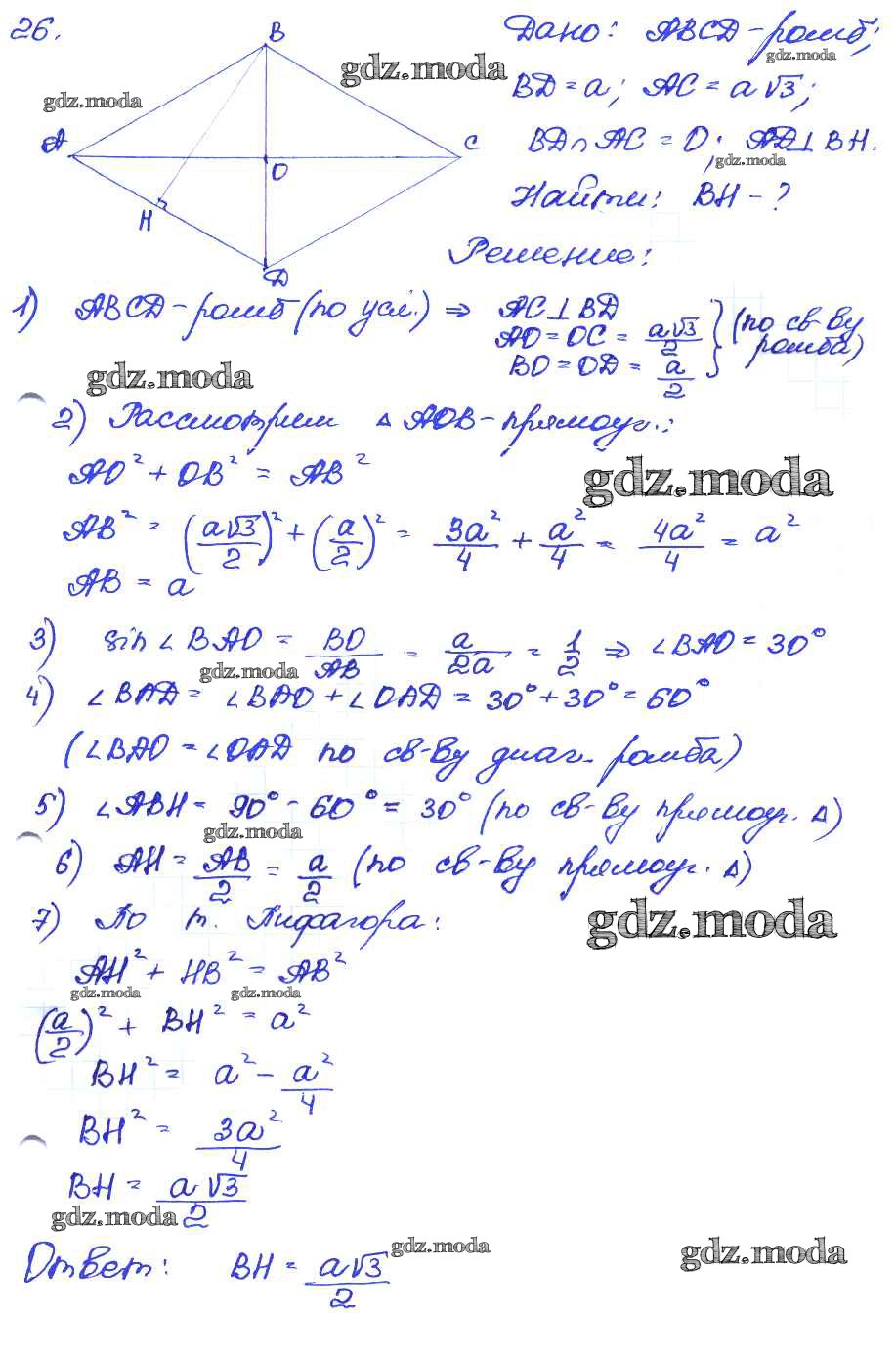
дополнительная задача / 26
ГДЗ решение к заданию № 26 Геометрия 7-9 классы самостоятельные и контрольные работы Иченская М.А. Просвещение 2017 ФГОС бесплатно на гдз.мода!