ОТВЕТ на задание № 1 Контрольные и самостоятельные работы по Геометрии 9 класс Журавлев УМК
Решебник
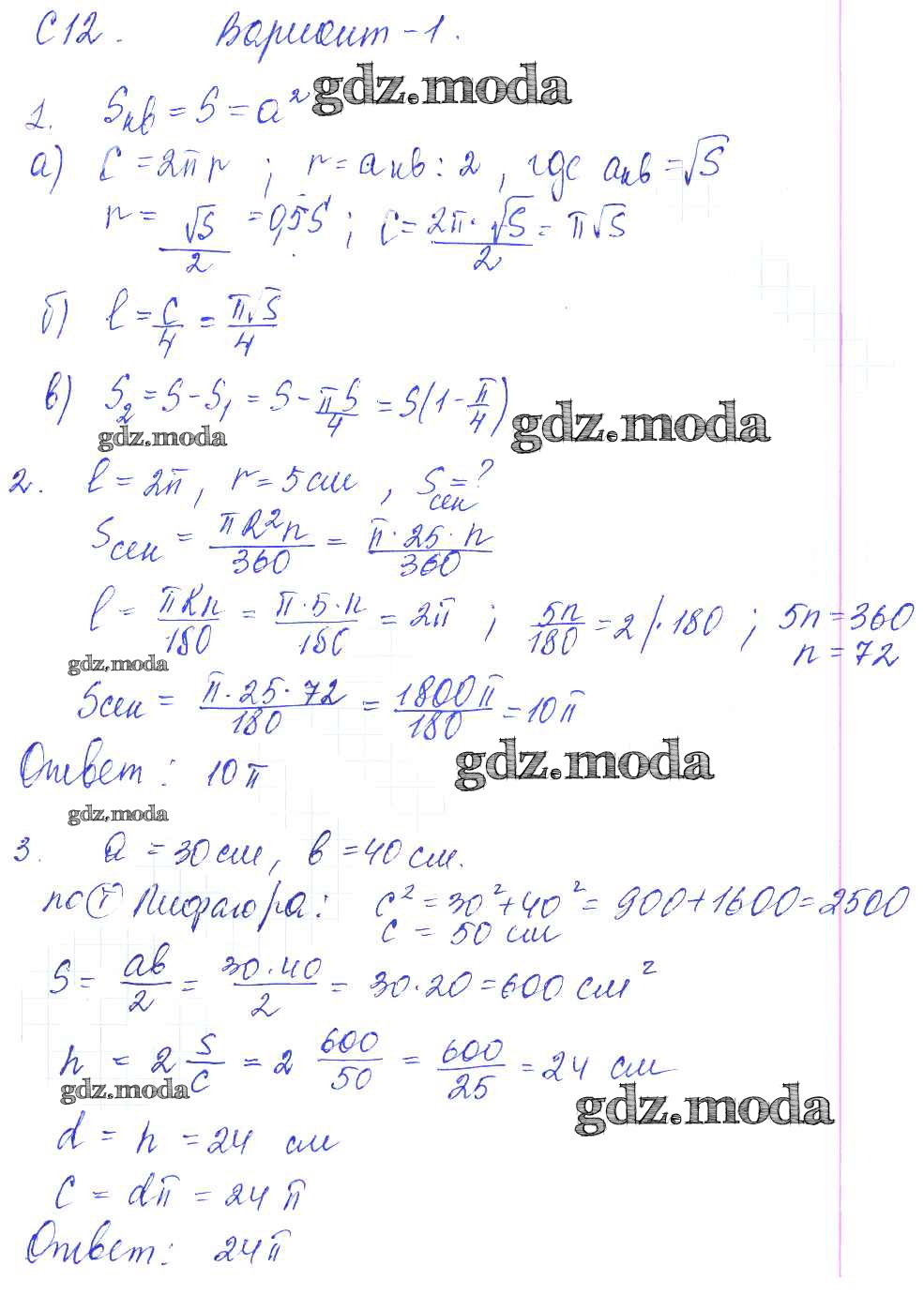
самостоятельные работы / к учебнику Атанасяна / ср-12. вариант / 1
Все ГДЗ по Геометрии 9 класс УМК
Все ГДЗ по Геометрии 9 класс УМК