ОТВЕТ на задание № 3 Контрольные и самостоятельные работы по Геометрии 9 класс Журавлев УМК
Решебник
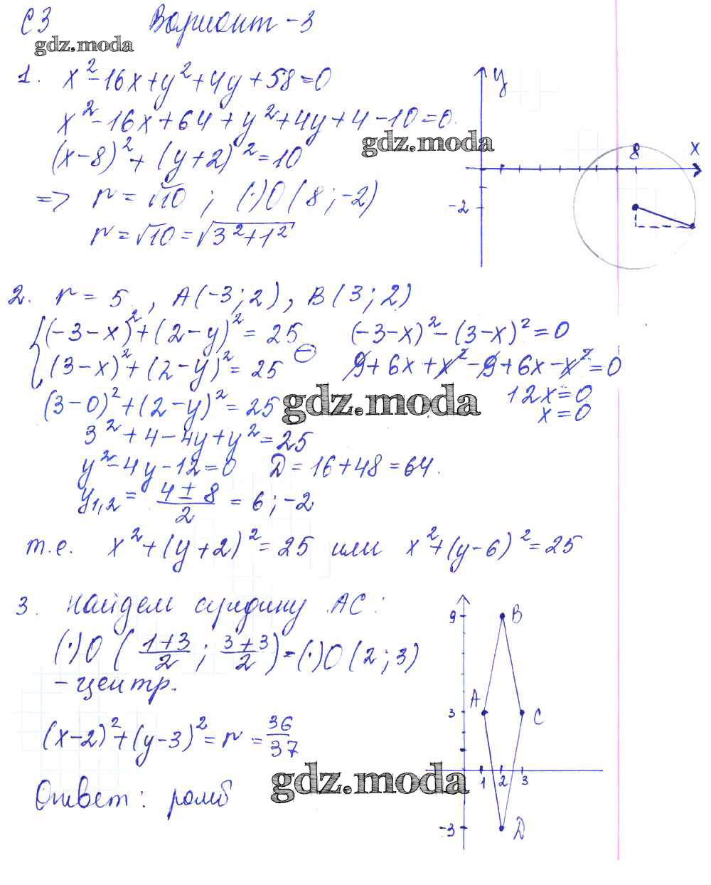
самостоятельные работы / к учебнику Атанасяна / ср-3. вариант / 3
Все ГДЗ по Геометрии 9 класс УМК
Все ГДЗ по Геометрии 9 класс УМК