ОТВЕТ на задание № 2 Контрольные и самостоятельные работы по Геометрии 9 класс Журавлев УМК
Решебник
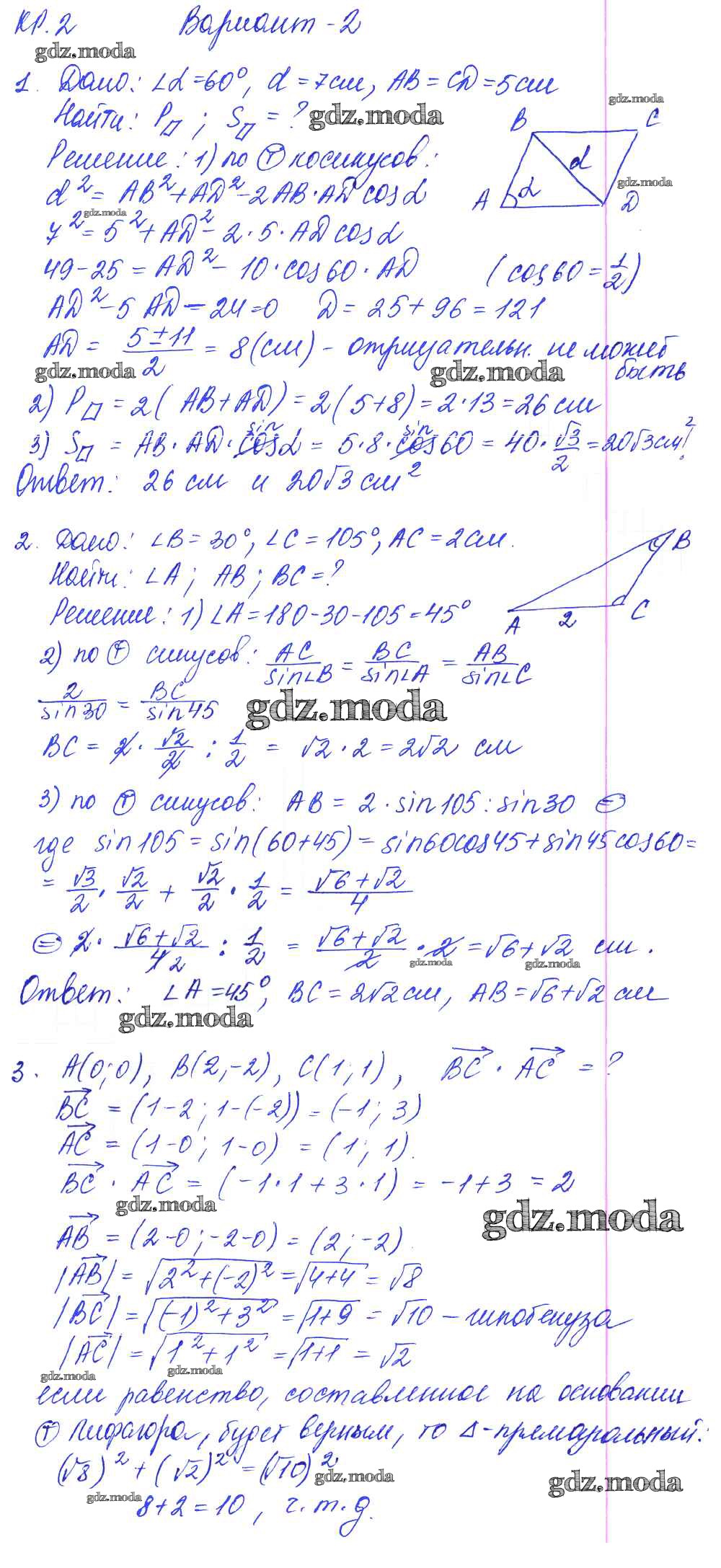
контрольные работы / к учебнику Атанасяна / кр-2. вариант / 2
Все ГДЗ по Геометрии 9 класс УМК
Все ГДЗ по Геометрии 9 класс УМК