Классы
1 класс
2 класс
3 класс
4 класс
5 класс
6 класс
7 класс
8 класс
9 класс
10 класс
11 класс
Предметы
Алгебра
Английский язык
Белорусский язык
Биология
География
Геометрия
Естествознание
Информатика
Искусство
История
Кубановедение
Литература
Математика
Музыка
Немецкий язык
ОБЖ
Обществознание
Окружающий мир
Основы здоровья
Природоведение
Русский язык
Технология
Украинский язык
Физика
Французский язык
Химия
Человек и мир
Я исследую мир
ГДЗ
9 класс
Геометрия
Шлыков
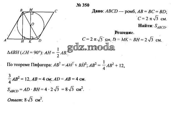
350
ОТВЕТ на задание № 350 Учебник по Геометрии 9 класс Шлыков
Показать содержание
← Предыдущее
Следующее →
Решебник
задача / 350
Показать содержание
← Предыдущее
Следующее →
ГДЗ решение к заданию № 350 Геометрия 9 класс Шлыков В.В. Народная асвета 2012 бесплатно на гдз.мода!