ОТВЕТ на задание № 1002 Учебник по Геометрии 7-9 класс Атанасян

Решебник №1

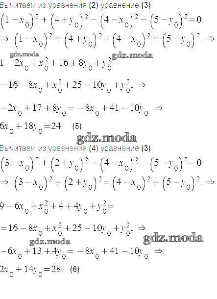
задача / 1002

Решебник №2

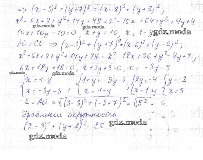
задача / 1002

Решебник №3

задача / 1002

Решебник №4

задача / 1002

Решебник №5

задача / 1002

Решебник №6

задача / 1002

ГДЗ решение к заданию № 1002 Геометрия 7-9 классы Атанасян Л.С. Просвещение 2010 ФГОС бесплатно на гдз.мода!