ОТВЕТ на задание № 1008 Учебник по Геометрии 7-9 класс Атанасян

Решебник №1

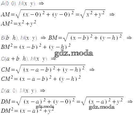
задача / 1008

Решебник №2

задача / 1008

Решебник №3

задача / 1008

Решебник №4

задача / 1008

Решебник №5

задача / 1008

Решебник №6

задача / 1008

ГДЗ решение к заданию № 1008 Геометрия 7-9 классы Атанасян Л.С. Просвещение 2010 ФГОС бесплатно на гдз.мода!