ОТВЕТ на задание № 1013 Учебник по Геометрии 7-9 класс Атанасян

Решебник №1

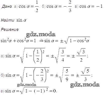
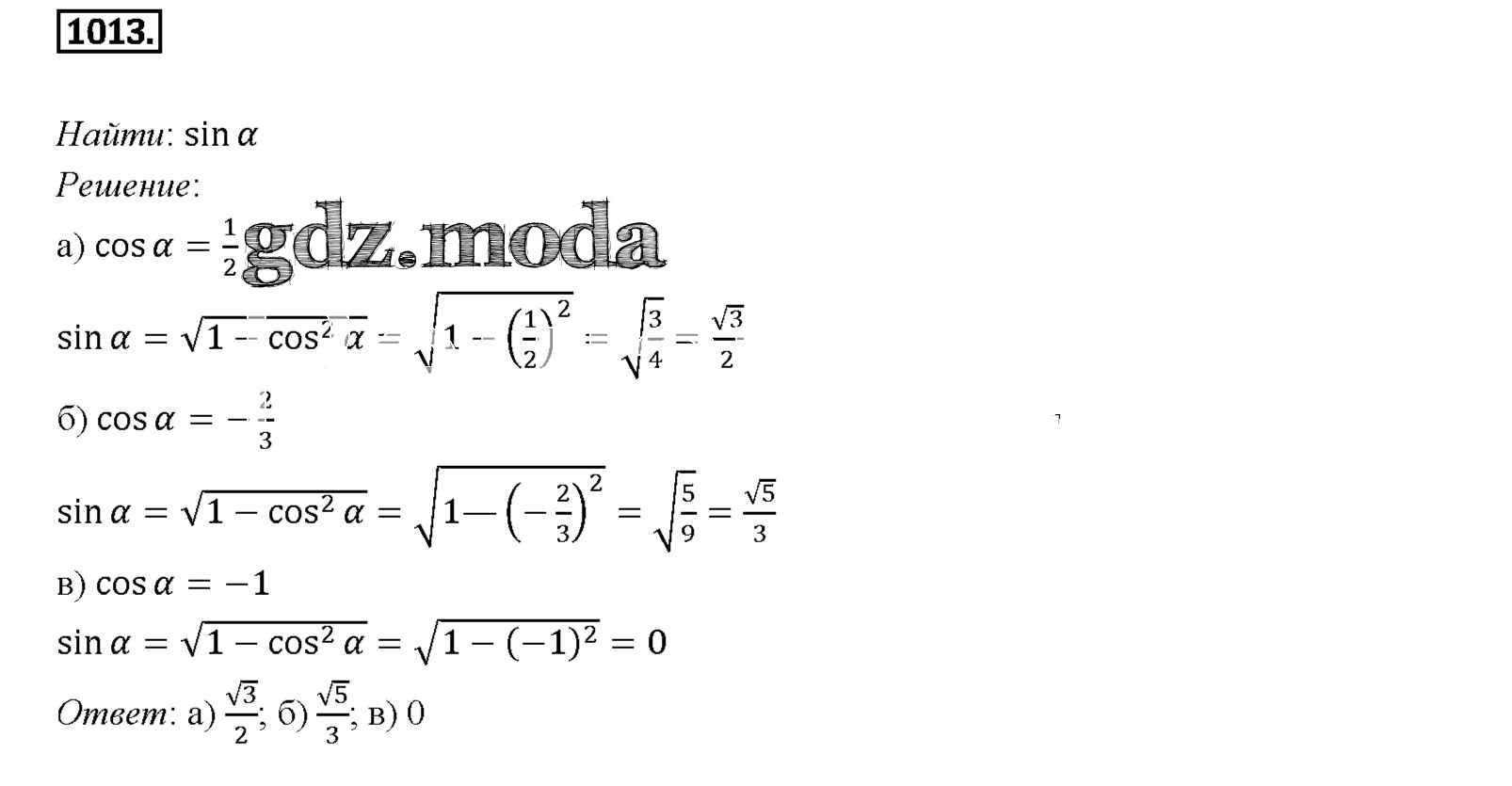
задача / 1013

Решебник №2

задача / 1013

Решебник №3

задача / 1013

Решебник №4

задача / 1013

Решебник №5

задача / 1013

Решебник №6

задача / 1013

ГДЗ решение к заданию № 1013 Геометрия 7-9 классы Атанасян Л.С. Просвещение 2010 ФГОС бесплатно на гдз.мода!