ОТВЕТ на задание № 1075 Учебник по Геометрии 7-9 класс Атанасян

Решебник №1

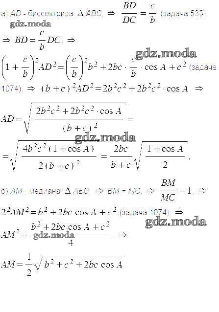
задача / 1075

Решебник №2

задача / 1075

Решебник №4

задача / 1075

Решебник №6

задача / 1075

ГДЗ решение к заданию № 1075 Геометрия 7-9 классы Атанасян Л.С. Просвещение 2010 ФГОС бесплатно на гдз.мода!