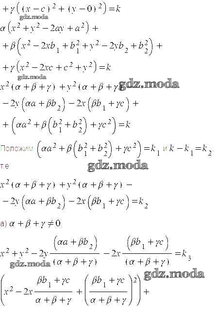
ОТВЕТ на задание № 1265 Учебник по Геометрии 7-9 класс Атанасян

Решебник №1

задача / 1265

Решебник №4

задача / 1265

Решебник №5

задача / 1265

Решебник №6

задача / 1265

ГДЗ решение к заданию № 1265 Геометрия 7-9 классы Атанасян Л.С. Просвещение 2010 ФГОС бесплатно на гдз.мода!