Классы
1 класс
2 класс
3 класс
4 класс
5 класс
6 класс
7 класс
8 класс
9 класс
10 класс
11 класс
Предметы
Алгебра
Английский язык
Белорусский язык
Биология
География
Геометрия
Естествознание
Информатика
Искусство
История
Кубановедение
Литература
Математика
Музыка
Немецкий язык
ОБЖ
Обществознание
Окружающий мир
Основы здоровья
Природоведение
Русский язык
Технология
Украинский язык
Физика
Французский язык
Химия
Человек и мир
Я исследую мир
ГДЗ
9 класс
Геометрия
учебник Атанасян
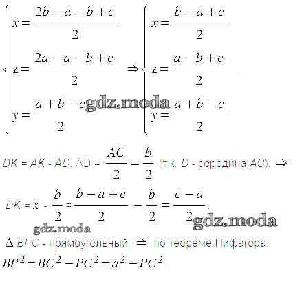
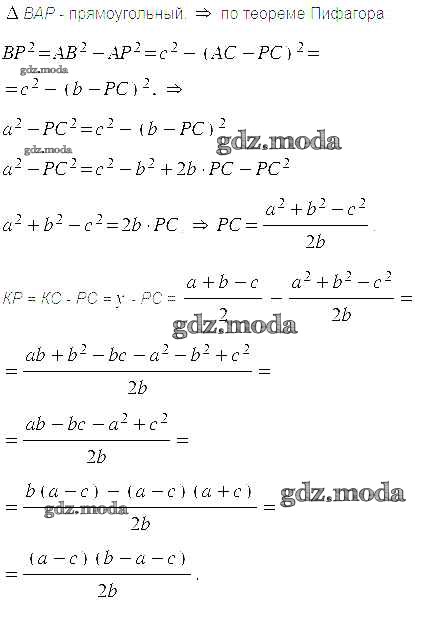
1275
ОТВЕТ на задание № 1275 Учебник по Геометрии 7-9 класс Атанасян
Показать содержание
← Предыдущее
Следующее →
Решебник №1
задача / 1275
Решебник №4
задача / 1275
Решебник №6
задача / 1275
Показать содержание
← Предыдущее
Следующее →
ГДЗ решение к заданию № 1275 Геометрия 7-9 классы Атанасян Л.С. Просвещение 2010 ФГОС бесплатно на гдз.мода!