ОТВЕТ на задание № 1304 Учебник по Геометрии 7-9 класс Атанасян

Решебник №1

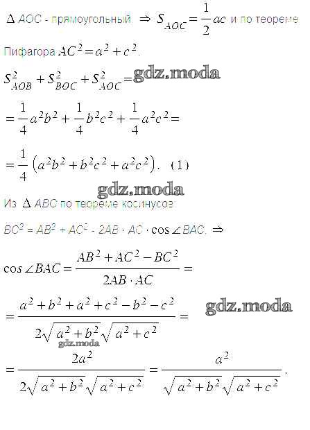
задача / 1304

Решебник №4

задача / 1304

Решебник №5

задача / 1304

Решебник №6

задача / 1304

ГДЗ решение к заданию № 1304 Геометрия 7-9 классы Атанасян Л.С. Просвещение 2010 ФГОС бесплатно на гдз.мода!