Классы
1 класс
2 класс
3 класс
4 класс
5 класс
6 класс
7 класс
8 класс
9 класс
10 класс
11 класс
Предметы
Алгебра
Английский язык
Белорусский язык
Биология
География
Геометрия
Естествознание
Информатика
Искусство
История
Кубановедение
Литература
Математика
Музыка
Немецкий язык
ОБЖ
Обществознание
Окружающий мир
Основы здоровья
Природоведение
Русский язык
Технология
Украинский язык
Физика
Французский язык
Химия
Человек и мир
Я исследую мир
ГДЗ
9 класс
Геометрия
учебник Атанасян
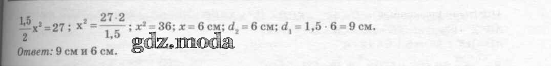
477
ОТВЕТ на задание № 477 Учебник по Геометрии 7-9 класс Атанасян
Показать содержание
← Предыдущее
Следующее →
Решебник №1
задача / 477
Решебник №2
задача / 477
Решебник №3
задача / 477
Решебник №4
задача / 477
Решебник №5
задача / 477
Решебник №6
задача / 477
Показать содержание
← Предыдущее
Следующее →
ГДЗ решение к заданию № 477 Геометрия 7-9 классы Атанасян Л.С. Просвещение 2010 ФГОС бесплатно на гдз.мода!