ОТВЕТ на задание № 545 Учебник по Геометрии 7-9 класс Атанасян

Решебник №1

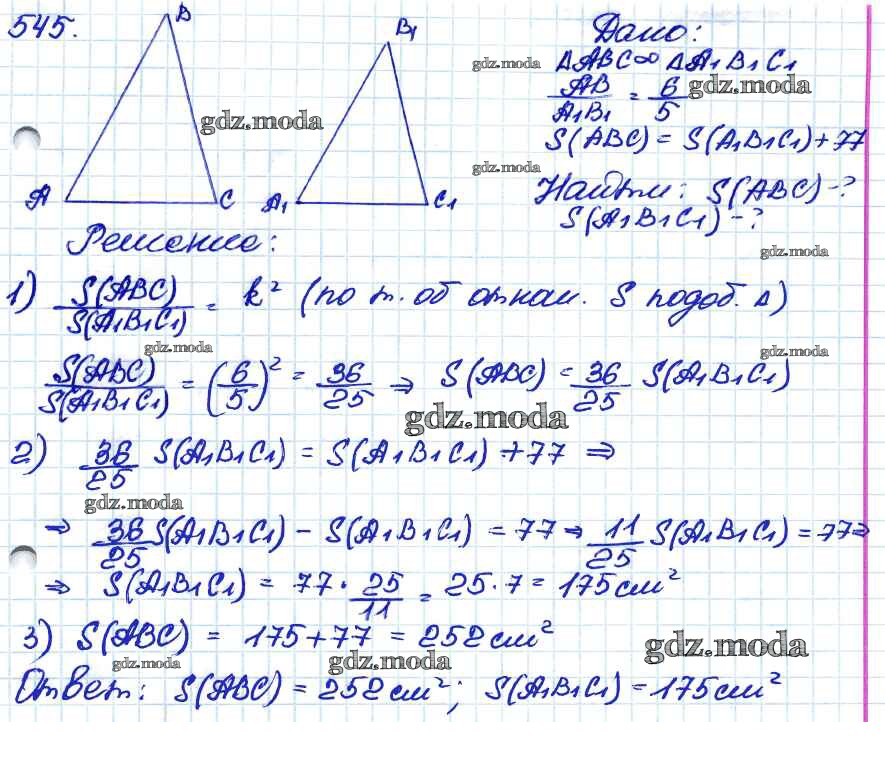
задача / 545

Решебник №2

задача / 545

Решебник №3

задача / 545

Решебник №4

задача / 545

Решебник №5

задача / 545

Решебник №6

задача / 545

Решебник №7

задача / 545

ГДЗ решение к заданию № 545 Геометрия 7-9 классы Атанасян Л.С. Просвещение 2010 ФГОС бесплатно на гдз.мода!