ОТВЕТ на задание № 784 Учебник по Геометрии 7-9 класс Атанасян

Решебник №1

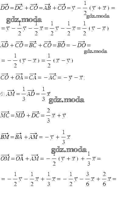
задача / 784

Решебник №2

задача / 784

Решебник №4

задача / 784

Решебник №6

задача / 784

ГДЗ решение к заданию № 784 Геометрия 7-9 классы Атанасян Л.С. Просвещение 2010 ФГОС бесплатно на гдз.мода!