ОТВЕТ на задание № 817 Учебник по Геометрии 7-9 класс Атанасян

Решебник №1

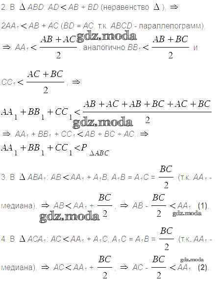
задача / 817

Решебник №4

задача / 817

Решебник №5

задача / 817

Решебник №6

задача / 817

ГДЗ решение к заданию № 817 Геометрия 7-9 классы Атанасян Л.С. Просвещение 2010 ФГОС бесплатно на гдз.мода!