ОТВЕТ на задание № 830 Учебник по Геометрии 7-9 класс Атанасян

Решебник №1

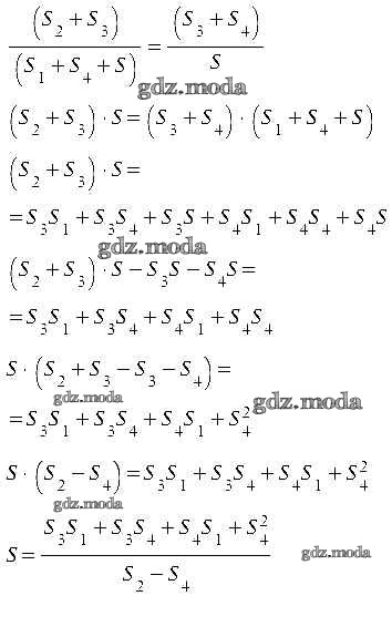
задача / 830

Решебник №4

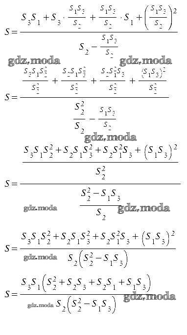
задача / 830

Решебник №5

задача / 830

Решебник №6

задача / 830

ГДЗ решение к заданию № 830 Геометрия 7-9 классы Атанасян Л.С. Просвещение 2010 ФГОС бесплатно на гдз.мода!