ОТВЕТ на задание № 852 Учебник по Геометрии 7-9 класс Атанасян

Решебник №1

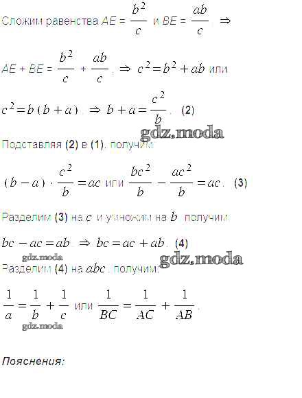
задача / 852

Решебник №4

задача / 852

Решебник №5

задача / 852

Решебник №6

задача / 852

ГДЗ решение к заданию № 852 Геометрия 7-9 классы Атанасян Л.С. Просвещение 2010 ФГОС бесплатно на гдз.мода!