ОТВЕТ на задание № 946 Учебник по Геометрии 7-9 класс Атанасян

Решебник №1

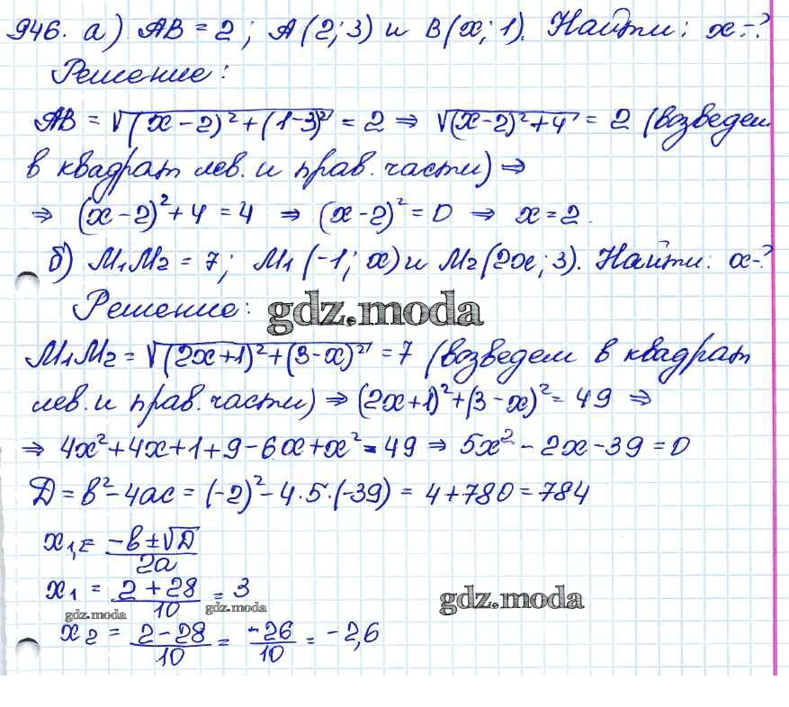
задача / 946

Решебник №2

задача / 946

Решебник №4

задача / 946

Решебник №5

задача / 946

Решебник №6

задача / 946

ГДЗ решение к заданию № 946 Геометрия 7-9 классы Атанасян Л.С. Просвещение 2010 ФГОС бесплатно на гдз.мода!