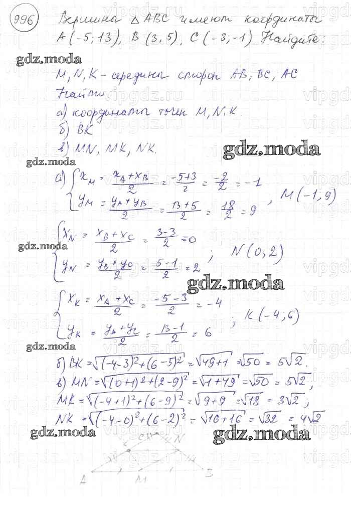
ОТВЕТ на задание № 996 Учебник по Геометрии 7-9 класс Атанасян

Решебник №1

задача / 996

Решебник №2

задача / 996

Решебник №3

задача / 996

Решебник №4

задача / 996

Решебник №5

задача / 996

Решебник №6

задача / 996

ГДЗ решение к заданию № 996 Геометрия 7-9 классы Атанасян Л.С. Просвещение 2010 ФГОС бесплатно на гдз.мода!